eryar

PipeCAD - Plant Piping Design Software.
AutoDraft- Plant drawing system for AVEVA E3D and Intergraph S3D.
PlantAssistant - Translate AVEVA RVM/SP3D VUE to glTF, STEP etc.
posts - 606, comments - 590, trackbacks - 0, articles - 0

OpenCascade BRep 格式描述之一

Posted on 2013-07-20 17:48 eryar 阅读(8076) 评论(0)  编辑 收藏 引用 所属分类: 2.OpenCASCADE4.AVEVA Solution

OpenCascade BRep Format Description

eryar@163.com

摘要Abstract:本文结合OpenCascade的BRep格式描述文档和源程序,对BRep格式进行分析,详细说明BRep的数据组织形式。结合源程序,可以对OpenCascade中Modeling Data模块中的模型数据结构进行理解。

关键字Key Words:OpenCascade, BRep Format, ModelingData

 

一、引言 Introduction

OpenCascade中的BRep格式主要用来存储3D模型,也可用来存储由下列元素组成的模型:vertices, edges, wires, faces, shells, solids, compsolids, compounds, edge triangulations, face triangulations, polylines on triangulations, space location and orientation.

本格式的目的就是为了便于理解,也使用了类似BNF的定义方式。以下章节都是按下面的格式组织的:

l 该部分的示例;

l 该部分的类BNF定义;

l 该部分的详细说明;

l 该部分的源程序片段。

 

二、通用结构 Format Common Structure

BRep格式文件的读写采用了ASCII的编码方式,该格式的数据都是文本形式存储。

BRep格式使用了下面的BNF术语:

1) <\n>:换行;

2) <_\n>:

3) <_>:空格;

4) <flag>:标志位:0和1;

5) <int>:整数,范围-231到231-1;

6) <real>:实数,范围-1.7976931348623159X10308到1.7976931348623158X10308;

7) <2D point>:二维点,两个实数;

8) <3D point>:三维点,三个实数;

9) <2D direction>:二维方向矢量,两个实数,平方和为1,即为单位方向矢量;

10) <3D direction>:三维方向矢量,三个实数,平方和为1,即为单位方向矢量;

11) <+>

BRep格式包含以下部分:

1) <content type>

2) <version>

3) <locations>

4) <geometry>

5) <shapes>

<content type>部分:

wps_clip_image-24015

<content type>也可以有其它的值。

<version>部分:

wps_clip_image-31719

不同版本之间的区别将会在本文档中说明。

 

三、<locations>部分 Section <locations>

示例:

wps_clip_image-17080

BNF 定义:

wps_clip_image-6051

详细说明:

<location data 1>定义了3X4的矩阵Q,描述了三维空间的线性变换,并满足如下约定:

wps_clip_image-14009

矩阵Q是线性变换矩阵,它可以通过矩阵乘法将一个点(x, y, z)变换成另外一点(u, v, w):

wps_clip_image-29220

Q也可能是以下基本变换矩阵的组合:

1) 平移变换矩阵:

wps_clip_image-24401

2) 绕任意轴旋转的变换矩阵,轴的方向为D(Dx, Dy, Dz),旋转角度ψ:

wps_clip_image-15666

3) 缩放变换矩阵:

wps_clip_image-26692

4) 中心对称变换矩阵:

wps_clip_image-14876

5) 轴对称变换矩阵:

wps_clip_image-10205

6) 平面对称变换矩阵:

wps_clip_image-24425

<location data 2>解释为组合变换的幂。<location data 2>是整数对li, pi的序列。这个序列将被解释为:

wps_clip_image-30280

Lli是<location record>部分的变换矩阵。

读取<locations>部分的类为TopTools_LocationSet,程序代码如下所示:

 1 //=======================================================================
 2 //function : Read
 3 //purpose  : 
 4 //=======================================================================
 5 void  TopTools_LocationSet::Read(Standard_IStream& IS)
 6 {
 7   myMap.Clear();
 8 
 9   char buffer[255];
10   Standard_Integer l1,p;
11 
12   IS >> buffer;
13   if (strcmp(buffer,"Locations")) {
14     cout << "Not a location table "<<endl;
15     return;
16   }
17 
18   Standard_Integer i, nbLoc;
19   IS >> nbLoc;
20   
21   TopLoc_Location L;
22   gp_Trsf T;
23     
24   //OCC19559
25   Message_ProgressSentry PS(GetProgress(), "Locations"0, nbLoc, 1);
26   for (i = 1; i <= nbLoc&& PS.More(); i++, PS.Next()) {
27     if ( !GetProgress().IsNull() ) 
28       GetProgress()->Show();
29 
30     Standard_Integer typLoc;
31     IS >> typLoc;
32     
33     if (typLoc == 1) {
34       ReadTrsf(T,IS);
35       L = T;
36     }
37 
38     else if (typLoc == 2) {
39       L = TopLoc_Location();
40       IS >> l1;
41       while (l1 != 0) { 
42     IS >> p;
43     TopLoc_Location L1 = myMap(l1);
44     L = L1.Powered(p) *L;
45     IS >> l1;
46       }
47     }
48     
49     if (!L.IsIdentity()) myMap.Add(L);
50   }
51 }


虽然代码风格不好,缩进、括号什么的都不工整,看起来很吃力,但是结合源程序,对上面的详细说明的理解还是很有帮助的。

其中变量nbLoc是<location record count>的值,成员变量myMap是TopLoc_Location的一个map。当是<location record 1>时把<location data 1>都放到TopLoc_Location的map中。当是<location record 2>时将li的变换矩阵TopLoc_Location乘pi次方。<flag>0表示<location data 2>的结束。

 

四、<geometry>部分

<geometry>包含以下子部分:

1.<2D curves>

2.<3D curves>

3.<3D polygons>

4.<polygons on triangulations>

5.<surfaces>

6.<triangulations>

读取<geometry>部分的类为BRepTools_ShapeSet,程序代码如下所示:

 1 //=======================================================================
 2 //function : ReadGeometry
 3 //purpose  : 
 4 //=======================================================================
 5 void  BRepTools_ShapeSet::ReadGeometry(Standard_IStream& IS)
 6 {
 7   //OCC19559
 8   myCurves2d.SetProgress(GetProgress());
 9   myCurves.SetProgress(GetProgress());
10   mySurfaces.SetProgress(GetProgress());
11 
12   if ( !GetProgress().IsNull()) {
13     if( GetProgress()->UserBreak() ) return;
14     GetProgress()->NewScope ( 15"2D Curves" );
15   }
16   myCurves2d.Read(IS);
17 
18   if ( !GetProgress().IsNull()) {
19     if( GetProgress()->UserBreak() ) return;
20     GetProgress()->EndScope();
21     GetProgress()->Show();
22     
23     GetProgress()->NewScope ( 15"3D Curves" );
24   }
25   myCurves.Read(IS);
26 
27   if ( !GetProgress().IsNull()) {
28     if( GetProgress()->UserBreak() ) return;
29     GetProgress()->EndScope();
30     GetProgress()->Show();
31     
32     GetProgress()->NewScope ( 10"3D Polygons" );
33   }
34   ReadPolygon3D(IS);
35   if ( !GetProgress().IsNull() ) {
36     if( GetProgress()->UserBreak() ) return;
37     GetProgress()->EndScope();
38     GetProgress()->Show();
39 
40     GetProgress()->NewScope ( 10"Polygons On Triangulation" );
41   }
42   ReadPolygonOnTriangulation(IS);
43   if ( !GetProgress().IsNull()) {
44     if( GetProgress()->UserBreak() ) return;
45     GetProgress()->EndScope();
46     GetProgress()->Show();
47     
48     GetProgress()->NewScope ( 10"Surfaces" );
49   }
50   mySurfaces.Read(IS);
51   if ( !GetProgress().IsNull() ) {
52     if( GetProgress()->UserBreak() ) return;
53     GetProgress()->EndScope();
54     GetProgress()->Show();
55 
56     GetProgress()->NewScope ( 15"Triangulations" );
57   }
58   ReadTriangulation(IS);
59   if ( !GetProgress().IsNull()) {
60     if( GetProgress()->UserBreak() ) return;
61     GetProgress()->EndScope();
62     GetProgress()->Show();
63   }
64 }


4.1 子部分<3D curves>

示例:

wps_clip_image-31062

BNF定义:

wps_clip_image-22688

详细说明:

由Curves开始,后面是曲线的数量,再下面是每条曲线的具体数据。

读取<curves>部分的类为GeomTools_CurveSet,程序代码如下所示:

  1 #define LINE      1
  2 #define CIRCLE    2
  3 #define ELLIPSE   3
  4 #define PARABOLA  4
  5 #define HYPERBOLA 5
  6 #define BEZIER    6
  7 #define BSPLINE   7
  8 #define TRIMMED   8
  9 #define OFFSET    9
 10 //=======================================================================
 11 //function : ReadCurve
 12 //purpose  : 
 13 //=======================================================================
 14 Standard_IStream& GeomTools_CurveSet::ReadCurve(Standard_IStream& IS,
 15                         Handle(Geom_Curve)& C)
 16 {
 17   Standard_Integer ctype;
 18 
 19   try {
 20     OCC_CATCH_SIGNALS
 21     IS >> ctype;
 22     switch (ctype) {
 23 
 24     case LINE :
 25       {
 26         Handle(Geom_Line) CC;
 27         IS >> CC;
 28         C = CC;
 29       }
 30       break;
 31 
 32     case CIRCLE :
 33       {
 34         Handle(Geom_Circle) CC;
 35         IS >> CC;
 36         C = CC;
 37       }
 38       break;
 39 
 40     case ELLIPSE :
 41       {
 42         Handle(Geom_Ellipse) CC;
 43         IS >> CC;
 44         C = CC;
 45       }
 46       break;
 47 
 48     case PARABOLA :
 49       {
 50         Handle(Geom_Parabola) CC;
 51         IS >> CC;
 52         C = CC;
 53       }
 54       break;
 55 
 56     case HYPERBOLA :
 57       {
 58         Handle(Geom_Hyperbola) CC;
 59         IS >> CC;
 60         C = CC;
 61       }
 62       break;
 63 
 64     case BEZIER :
 65       {
 66         Handle(Geom_BezierCurve) CC;
 67         IS >> CC;
 68         C = CC;
 69       }
 70       break;
 71 
 72     case BSPLINE :
 73       {
 74         Handle(Geom_BSplineCurve) CC;
 75         IS >> CC;
 76         C = CC;
 77       }
 78       break;
 79 
 80     case TRIMMED :
 81       {
 82         Handle(Geom_TrimmedCurve) CC;
 83         IS >> CC;
 84         C = CC;
 85       }
 86       break;
 87 
 88     case OFFSET :
 89       {
 90         Handle(Geom_OffsetCurve) CC;
 91         IS >> CC;
 92         C = CC;
 93       }
 94       break;
 95       
 96     default:
 97       {
 98         Handle(Geom_Curve) CC;
 99         GeomTools::GetUndefinedTypeHandler()->ReadCurve(ctype,IS,CC);
100         C = CC;
101       }
102     }
103   }
104   catch(Standard_Failure) {
105 #ifdef DEB
106     Handle(Standard_Failure) anExc = Standard_Failure::Caught();
107     cout <<"EXCEPTION in GeomTools_CurveSet::ReadCurve(..)!!!" << endl;
108     cout << anExc << endl;
109 #endif
110     C = NULL;
111   }
112   return IS;
113 }


因为重载了操作符>>,使不同的类调用了不同的处理函数。

因为读取点和方向用得很频繁,所以将读取点和方向的函数程序先列出如下所示:

 1 //=======================================================================
 2 //function : ReadPnt
 3 //purpose  : 
 4 //=======================================================================
 5 static Standard_IStream& operator>>(Standard_IStream& IS, gp_Pnt& P)
 6 {
 7   Standard_Real X=0.,Y=0.,Z=0.;
 8   IS >> X >> Y >> Z;
 9   P.SetCoord(X,Y,Z);
10   return IS;
11 }
12 
13 //=======================================================================
14 //function : ReadDir
15 //purpose  : 
16 //=======================================================================
17 static Standard_IStream& operator>>(Standard_IStream& IS, gp_Dir& D)
18 {
19   Standard_Real X=0.,Y=0.,Z=0.;
20   IS >> X >> Y >> Z;
21   D.SetCoord(X,Y,Z);
22   return IS;
23 }


4.1.1 <3D curve record 1>-Line

示例:

wps_clip_image-789

BNF定义:

wps_clip_image-26031

详细说明:

<3D curve record 1>定义了直线。直线数据由一个三维点P和一个三维方向矢量D组成。通过点P且方向为D的直线由下面的参数方程来定义:

wps_clip_image-10018

示例数据表示的直线为通过点P(1,0,3),方向D(0,1,0),得到的参数方程为:

wps_clip_image-14708

读取直线部分的程序代码如下所示:

 1 //=======================================================================
 2 //function : ReadCurve
 3 //purpose  : 
 4 //=======================================================================
 5 static Standard_IStream& operator>>(Standard_IStream& IS,
 6                     Handle(Geom_Line)& L)
 7 {
 8   gp_Pnt P(0.,0.,0.);
 9   gp_Dir AX(1.,0.,0.);
10   IS >> P >> AX;
11   L = new Geom_Line(P,AX);
12   return IS;
13 }


 

4.1.2 <3D curve record 2>-Circle

示例:

wps_clip_image-1840

BNF定义:

wps_clip_image-13786

详细说明:

<3D curve record 2>定义了圆。圆的数据包含一个三维点P,一个正交坐标系的三个轴的方向N,Dx,Dy,还有一个非负的实数r。其中点P为圆心坐标,圆位于平面的法向量为N的平面上,圆的半径为r。圆的参数方程如下所示:

wps_clip_image-24018

示例数据表示的圆为:圆心P(1,2,3),位于平面的法向量N(0,0,1),圆的方向Dx=(1,0,-0),Dy=(-0,1,0),半径r=4,其参数方向为:

wps_clip_image-9700

读取圆部分的程序代码如下所示:

 1 //=======================================================================
 2 //function : ReadCurve
 3 //purpose  : 
 4 //=======================================================================
 5 static Standard_IStream& operator>>(Standard_IStream& IS,
 6                     Handle(Geom_Circle)& C)
 7 {
 8   gp_Pnt P(0.,0.,0.);
 9   gp_Dir A(1.,0.,0.),AX(1.,0.,0.),AY(1.,0.,0.);
10   Standard_Real R=0.;
11   IS >> P >> A >> AX >> AY >> R;
12   C = new Geom_Circle(gp_Ax2(P,A,AX),R);
13   return IS;
14 }

 

4.1.3 <3D curve record 3>-Ellipse

示例:

wps_clip_image-2176

BNF定义:

wps_clip_image-30115

详细说明:

<3D curve record 3>定义了椭圆。椭圆的数据包含三维点P,三维正交坐标系N、Dmaj、Dmin和两个非负实数rmaj和rmin,且rmin<=rmaj。椭圆位于中心点P,法向量为N的平面上,且长轴、短轴的方向分别为Dmaj, Dmin,长轴、短轴上的半径分别为rmaj, rmin。椭圆的参数方程定义如下所示:

wps_clip_image-24324

示例数据表示的椭圆的中心点P=(1,2,3),平面的法向量N=(0,0,1),长轴方向Dmaj=(1,0,-0),短轴方向Dmin=(-0,1,0),长轴半径为5,短轴半径为4,

wps_clip_image-378

读取椭圆部分的程序代码如下所示:

 1 //=======================================================================
 2 //function : ReadCurve
 3 //purpose  : 
 4 //=======================================================================
 5 static Standard_IStream& operator>>(Standard_IStream& IS,
 6                     Handle(Geom_Ellipse)& E)
 7 {
 8   gp_Pnt P(0.,0.,0.);
 9   gp_Dir A(1.,0.,0.),AX(1.,0.,0.),AY(1.,0.,0.);
10   Standard_Real R1=0.,R2=0.;
11   IS >> P >> A >> AX >> AY >> R1 >> R2;
12   E = new Geom_Ellipse(gp_Ax2(P,A,AX),R1,R2);
13   return IS;
14 }

 

4.1.4 <3D curve record 4>-Parabola

示例:

wps_clip_image-27513

BNF定义:

wps_clip_image-12739

详细说明:

<3D curve record 4>定义了抛物线。抛物线数据包含三维点P,三维正交坐标系坐标轴方向N,Dx,Dy和一个非负的实数f。抛物线通过点P,且位于法向量为N的平面上,焦点长度为f,其参数方程如下所示:

wps_clip_image-10435

示例数据表示的抛物线过点P=(1,2,3),位于平面的法向N=(0,0,1),抛物线的另两个轴方向Dx=(1,0,-0),Dy=(-0,1,0),焦点长度f=16。参数方程为:

wps_clip_image-8728

读取抛物线部分的程序代码如下所示:

 1 //=======================================================================
 2 //function : ReadCurve
 3 //purpose  : 
 4 //=======================================================================
 5 static Standard_IStream& operator>>(Standard_IStream& IS,
 6                     Handle(Geom_Parabola)& C)
 7 {
 8   gp_Pnt P(0.,0.,0.);
 9   gp_Dir A(1.,0.,0.),AX(1.,0.,0.),AY(1.,0.,0.);
10   Standard_Real R1=0.;
11   IS >> P >> A >> AX >> AY >> R1;
12   C = new Geom_Parabola(gp_Ax2(P,A,AX),R1);
13   return IS;
14 }

 

4.1.5 <3D curve record 5>-Hyperbola

示例:

wps_clip_image-10057

BNF定义:

wps_clip_image-24469

详细说明:

<3D curve record 5>定义了双曲线。双曲线定义数据有三维点P,三维正交坐标系坐标轴方向为N,Dx,Dy和两个非负实数Kx,Ky。双曲线过P点且法向量为N的平面上,其参数方程如下所示:

wps_clip_image-19650

示例数据表示的双曲线过点P=(1,2,3)且位于的平面的法向N=(0,0,1),其它的数据Dx=(1,0,-0),Dy=(-0,1,0),Kx=5和Ky=4。其参数方程为:

wps_clip_image-14840

读取双曲线部分的程序代码如下所示:

 1 //=======================================================================
 2 //function : ReadCurve
 3 //purpose  : 
 4 //=======================================================================
 5 static Standard_IStream& operator>>(Standard_IStream& IS,
 6                     Handle(Geom_Hyperbola)& H)
 7 {
 8   gp_Pnt P(0.,0.,0.);
 9   gp_Dir A(1.,0.,0.),AX(1.,0.,0.),AY(1.,0.,0.);
10   Standard_Real R1=0.,R2=0.;
11   IS >> P >> A >> AX >> AY >> R1 >> R2;
12   H = new Geom_Hyperbola(gp_Ax2(P,A,AX),R1,R2);
13   return IS;
14 }

 

4.1.6 <3D curve record 6>-Bezier Curve

示例:

wps_clip_image-12112

BNF定义:

wps_clip_image-18127

详细说明:

<3D curve record 6>定义了Bezier曲线。Bezier曲线数据包含有理标志r,曲线的次数m(degree m <= 25查看源代码可知OpenCascade可处理的B样条次数不超过25)和带权的控制点(weight poles)。当有理标志位r=0时,weight poles就是m+1个三维点:B0,B1...Bn;当有理标志位r=1时,weight poles就是带权的控制点B0 h0... Bm hm。Bi是三维点,hi是[0,m]正实数,即权因子。当有理标志位r=0时,即不是有理Bezier曲线时,hi=1。Bezier曲线参数方程如下所示:

wps_clip_image-20081

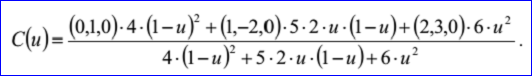
示例数据表示的Bezier曲线是有理Bezier曲线,因其有理标志位r=1,次数m=2,带权控制点及权因子分别为:B0=(0,1,0),h0=4,B1=(1,-2,0),h1=5,B2=(2,3,0),h2=6。Bezier曲线的参数方程如下所示:

wps_clip_image-28443

读取Bezier曲线部分的程序代码如下所示:

 1 //=======================================================================
 2 //function : ReadCurve
 3 //purpose  : 
 4 //=======================================================================
 5 static Standard_IStream& operator>>(Standard_IStream& IS,
 6                     Handle(Geom_BezierCurve)& B)
 7 {
 8   Standard_Boolean rational=Standard_False;
 9   IS >> rational;
10 
11   // poles and weights
12   Standard_Integer i=0,degree=0;
13   IS >> degree;
14 
15   TColgp_Array1OfPnt poles(1,degree+1);
16   TColStd_Array1OfReal weights(1,degree+1);
17   
18   for (i = 1; i <= degree+1; i++) {
19     IS >> poles(i);
20     if (rational)
21       IS >> weights(i);
22   }
23 
24   if (rational)
25     B = new Geom_BezierCurve(poles,weights);
26   else
27     B = new Geom_BezierCurve(poles);
28 
29   return IS;
30 }

 

4.1.7 <3D curve record 7>-B-Spline curve

示例:

wps_clip_image-16538

BNF定义:

wps_clip_image-25364

详细说明:

<3D curve record 7>定义了B-Spline曲线。B-Spline曲线包含了有理标志位r,曲线次数m<=25,控制点数n>=2,重节点数k,带权控制点wieght poles和重节点multiplicity knots。

当有理标志位r=0时,是非有理B样条曲线,weight poles有n个三维点B1,...,Bn;当有理标志位r=1时,是有理B样条曲线,weight poles是n个带权控制点对:B1, h1, .... Bn, hn。这里Bi表示一个三维点,hi表示一个[0,1]正实数。当有理标志位r=0时,hi=1。

重节点有k对u1, q1, ... uk, qk。这里ui是重复度为qi>=1的节点。

wps_clip_image-25201

B-Spline曲线的参数方程如下所示:

wps_clip_image-27883

其中Ni,j有如下的递归定义:

wps_clip_image-15612

wps_clip_image-8893

示例数据表示的B样条曲线为:有理标志位r=1,次数m=1,控制点数n=3,重节点数k=5,带权控制点:B1=(0,1,0),h1=4,B2=(1,-2,0),h2=5,B3=(2,3,0),h3=6;重节点u1=0,q1=1,u2=0.25,q2=1,u3=0.5,q3=1,u4=0.75,q4=1,u5=1,q5=1。B-Spline曲线的参数方程如下所示:

wps_clip_image-16971

读取B-Spline曲线部分的程序代码如下所示:

 

 1 //=======================================================================
 2 //function : ReadCurve
 3 //purpose  : 
 4 //=======================================================================
 5 static Standard_IStream& operator>>(Standard_IStream& IS,
 6                     Handle(Geom_BSplineCurve)& B)
 7 {
 8 
 9   Standard_Boolean rational=Standard_False,periodic=Standard_False;
10   IS >> rational >> periodic;
11 
12   // poles and weights
13   Standard_Integer i=0,degree=0,nbpoles=0,nbknots=0;
14   IS >> degree >> nbpoles >> nbknots;
15 
16   TColgp_Array1OfPnt poles(1,nbpoles);
17   TColStd_Array1OfReal weights(1,nbpoles);
18   
19   for (i = 1; i <= nbpoles; i++) {
20     IS >> poles(i);
21     if (rational)
22       IS >> weights(i);
23   }
24 
25   TColStd_Array1OfReal knots(1,nbknots);
26   TColStd_Array1OfInteger mults(1,nbknots);
27 
28   for (i = 1; i <= nbknots; i++) {
29     IS >> knots(i) >> mults(i);
30   }
31 
32   if (rational)
33     B = new Geom_BSplineCurve(poles,weights,knots,mults,degree,periodic);
34   else
35     B = new Geom_BSplineCurve(poles,knots,mults,degree,periodic);
36   
37   return IS;
38 }


4.1.8 <3D curve record 8>-Trimmed Curve

示例:

wps_clip_image-14622

BNF定义:

wps_clip_image-15456

详细说明:

<3D curve record 8>定义了裁剪曲线(trimmed curve)。裁剪曲线数据包含:两个实数umin,umax和<3D curve record>,且umin<umax。裁剪曲线是将<3D curve record>描述的曲线B限制在[umin,umax]。裁剪曲线的参数方程如下所示:

wps_clip_image-729

示例数据表示的裁剪曲线为:umin=-4,umax=5,曲线B(u)=(1,2,3)+u(1,0,0)。裁剪曲线的参数方程如下所示:

wps_clip_image-26721

读取裁剪曲线部分的程序代码如下所示:

 

 1 //=======================================================================
 2 //function : ReadCurve
 3 //purpose  : 
 4 //=======================================================================
 5 
 6 static Standard_IStream& operator>>(Standard_IStream& IS,
 7                     Handle(Geom_TrimmedCurve)& C)
 8 {
 9   Standard_Real p1=0.,p2=0.;
10   IS >> p1 >> p2;
11   Handle(Geom_Curve) BC;
12   GeomTools_CurveSet::ReadCurve(IS,BC);
13   C = new Geom_TrimmedCurve(BC,p1,p2);
14   return IS;
15 }


4.1.9 <3D curve record 9>-Offset Curve

示例:

wps_clip_image-20445

BNF定义:

wps_clip_image-18525

详细说明:

<3D curve record 9>定义了偏移曲线(offset curve)。偏移曲线的数据包含偏移距离d,偏移方向D和曲线数据<3D curve record>。偏移曲线是将<3D curve record>描述的曲线沿矢量wps_clip_image-11378偏移距离d后的结果。偏移曲线的参数方程如下所示:

wps_clip_image-18469

示例数据表示的偏移曲线为偏移距离d=2,方向D=(0,1,0),基曲线B(u)=(1,2,3)+u(1,0,0),其参数方程如下所示:

wps_clip_image-19238

读取偏移曲线部分程序代码如下所示:

 1 //=======================================================================
 2 //function : ReadCurve
 3 //purpose  : 
 4 //=======================================================================
 5 static Standard_IStream& operator>>(Standard_IStream& IS,
 6                     Handle(Geom_OffsetCurve)& C)
 7 {
 8   Standard_Real p=0.;
 9   IS >> p;
10   gp_Dir D(1.,0.,0.);
11   IS >> D;
12   Handle(Geom_Curve) BC;
13   GeomTools_CurveSet::ReadCurve(IS,BC);
14   C = new Geom_OffsetCurve(BC,p,D);
15   return IS;
16 }