一年十二月  谁主春秋
关注:基础系统工程 密码学 人工智能
C++博客
首页
新随笔
联系
聚合
管理
随笔-169 评论-223 文章-30 trackbacks-0
NTRU格密码一处恒等式的证明
先摘取文献[1]的NTRU密码算法描述
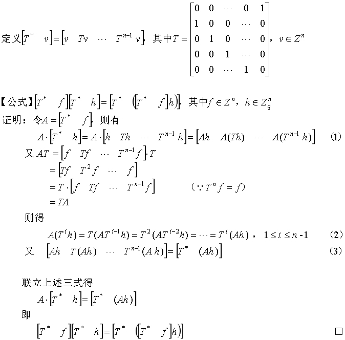
矩阵T及T
*
的定义如下
再给出证明过程
参考文献
[1] Post-Quantum Cryptography
posted on 2026-01-27 18:00
春秋十二月
阅读(151)
评论(0)
编辑
收藏
引用
所属分类:
Cryptography
只有注册用户
登录
后才能发表评论。
相关文章:
一些标识密钥交换协议的安全性分析
SM4的解密验证及S盒安全性分析
再谈RSA的安全设计
关于格的行列式之解释
NTRU格密码一处恒等式的证明
关于线性码的主要结论及应用
关于LLL算法的补充证明
关于分圆域的一般结论
一个欧拉数整除问题的两种证法
有限域上的特征与指数和之扩展
网站导航:
博客园
博客园最新博文
博问
管理
本博客所有随笔均为原创,因为不定期维护更新,所以转载请注明出处,如有问题和建议,请留言或评论,发表您的宝贵意见,藉此平台以分享交流、共同进步。
联系方式:微信math-engineer
<
2026年1月
>
日
一
二
三
四
五
六
28
29
30
31
1
2
3
4
5
6
7
8
9
10
11
12
13
14
15
16
17
18
19
20
21
22
23
24
25
26
27
28
29
30
31
1
2
3
4
5
6
7
常用链接
我的随笔
我的评论
我参与的随笔
留言簿
(23)
给我留言
查看公开留言
查看私人留言
随笔分类
(169)
Algorithm(20)
C/C++(24)
Compiler(25)
Compute Theory(5)
Cryptography(38)
Database(4)
Network(16)
Opensrc(13)
System(24)
随笔档案
(169)
2026年5月 (1)
2026年4月 (1)
2026年3月 (2)
2026年1月 (2)
2025年9月 (1)
2025年7月 (1)
2025年6月 (2)
2025年4月 (2)
2024年12月 (1)
2024年11月 (1)
2024年9月 (1)
2024年8月 (2)
2024年6月 (1)
2024年5月 (1)
2024年4月 (1)
2024年3月 (2)
2024年2月 (2)
2023年12月 (1)
2023年11月 (2)
2023年10月 (2)
2023年9月 (37)
2021年12月 (1)
2021年10月 (1)
2021年9月 (1)
2021年2月 (1)
2020年5月 (3)
2020年4月 (1)
2019年11月 (4)
2019年7月 (1)
2018年11月 (1)
2017年12月 (1)
2016年12月 (1)
2016年11月 (2)
2016年10月 (1)
2016年9月 (1)
2016年8月 (3)
2016年7月 (4)
2016年5月 (1)
2015年10月 (2)
2015年9月 (1)
2015年6月 (2)
2015年5月 (3)
2015年2月 (1)
2015年1月 (1)
2014年12月 (2)
2014年4月 (2)
2014年3月 (1)
2014年1月 (1)
2013年10月 (1)
2013年9月 (1)
2013年8月 (3)
2013年5月 (1)
2013年3月 (1)
2012年11月 (1)
2012年9月 (3)
2012年8月 (1)
2012年7月 (1)
2012年6月 (5)
2012年5月 (3)
2011年12月 (5)
2011年11月 (1)
2011年10月 (5)
2011年8月 (7)
2011年7月 (6)
2011年6月 (6)
2010年6月 (1)
2009年12月 (1)
2009年8月 (1)
2009年7月 (1)
2009年6月 (1)
2009年4月 (3)
文章分类
(30)
诗词作品集(30)
关注的开源项目
LLVM
编译系统
nginx
高性能Web服务器
OpenSSL
密码学库
suricata
网络IPS引擎
最新随笔
1. 一些标识密钥交换协议的安全性分析
2. SM4的解密验证及S盒安全性分析
3. 再谈RSA的安全设计
4. 关于格的行列式之解释
5. NTRU格密码一处恒等式的证明
6. 关于线性码的主要结论及应用
7. 关于LLL算法的补充证明
8. 关于分圆域的一般结论
9. 一个欧拉数整除问题的两种证法
10. 有限域上的特征与指数和之扩展
积分与排名
积分 - 431550
排名 - 53
最新评论
1. re: 一种拦截Linux原始套接字IO的方法[未登录]
很有前途和很有钱途啊。
--chipset
2. re: 一种拦截Linux原始套接字IO的方法[未登录]
@chipset
是的
--春秋十二月
3. re: 一种拦截Linux原始套接字IO的方法[未登录]
工作是做网络安全?
--chipset
4. re: 一种使用函数指针实现状态机的方法
函数指针实现状态机
--linda
5. re: 多标签视图类CTabView的设计实现
为啥代码缺少一些呢,给新手个完整点的啊
--pekingliu
6. re: 工作线程与消息循环
从消息队列取出消息 mark了
--mmocake
7. re: 一种简单的跨平台套接字管道
评论内容较长,点击标题查看
--IT搬运工
8. re: 一种简单的跨平台套接字管道
windows仅支持af_init和af_init6地址族有错别字么?
af_init和af_init6
--IT搬运工
9. re: Shell应用(8):使用awk定位反汇编输出[未登录]
厉害
--Chipset
10. re: TCP分组丢失时的状态变迁
不错
--Binky
阅读排行榜
1. 基于OpenSSL实现的安全连接(14141)
2. 字符串16进制显示(12968)
3. 基于boost asio实现的ssl socket框架(12428)
4. Linux套接字与虚拟文件系统(1):初始化和创建(8815)
5. 关于数据库的一些学习研究心得(8190)
6. 使用CString GetBuffer自适应获取计算机名称(8048)
7. 使用正则表达式解析URL(8038)
8. basic_string内存泄露问题之分析解决(7832)
9. Shell应用(4): 使用sed删除行尾的^M字符(7775)
10. nginx iocp(1):tcp异步连接(7742)
评论排行榜
1. basic_string内存泄露问题之分析解决(19)
2. 求单向链表倒序第m个元素(11)
3. 基于顺序存储实现的多叉树(1):深度优先存储(9)
4. 字符大小写转换(7)
5. 面向对象锁框架的设计与实现(6)
6. 字符串16进制显示(6)
7. 工作线程与消息循环(5)
8. Shell应用(4): 使用sed删除行尾的^M字符(5)
9. 使用正则表达式解析URL(5)
10. 十进制整数千位分隔符(4)