Heath's Blog

There is no end, it is just the beginning! - A Game Developer's Notes

被动D3D Hooking方案

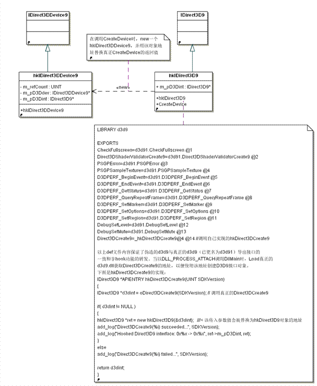
    所谓被动,通俗点说就是等着别人来调用。这种方式不像其他D3D Hooking,需要自己编写一个应用来启动需要Hook的程序,而是将自己伪装成d3d*.dll。下图展现了整个方案所涉及的两个重要的interface,由于methods繁多,在此略去(可以参考d3d的文档和head files)。
P.S. 感谢Jeffrey的《Windows via C/C++》和Matthew L的代码给予我的灵感!

posted on 2008-11-23 15:22 Heath 阅读(635) 评论(1)  编辑 收藏 引用 所属分类: Studying

Feedback

# re: 被动D3D Hooking方案 2009-02-20 15:17 et2009

用 AheadLib 可以直接读取原 DLL 的导出列表,继而生成伪装 DLL 的 cpp 源代码,支持多线程,并动态从 system32 目录载入原 DLL。  回复  更多评论