最近两天在看圆周率的算法,网上流传这么一个经典的算法,
1
#include
<
stdio.h
>
2
long
a
=
10000
,b
=
0
,c
=
2800
,d,e,f[
2801
],g;
3
void
main()
4
{
5
printf(
"
%d
"
,b);
6
for
(;b
!=
c;)
7
{
8
f[b]
=
a
/
5
;
9
b
++
;
10
}
11
for
(; d
=
0
,g
=
c
*
2
; c
-=
14
,printf(
"
%.4d
"
,e
+
d
/
a),e
=
d
%
a)
12
for
(b
=
c;d
+=
f[b]
*
a,f[b]
=
d
%--
g,d
/=
g
--
,
--
b;d
*=
b);
13
}
14
实际上,我看f[2080]和e都是没有初始化的,f[2080]应初始化为a/5,e初始化为0.
上机验证了一下,算出来打印256位,对比圆周率表(附后),可知答案是正确的,但是打印256位之后,程序卡在那儿不动,不知道是哪陷入了死循环.
至于到底有什么问题,还望大虾帮忙看一看.
先不管它,这个程序虽然风格恶劣(“短小精悍”让人看不懂),但这个算法还是值得研究的.毕竟,它是确定性算法,比各种随机版本(比如蒙特卡罗法模拟)的算法要可靠.
一、源程序
本文分析下面这个很流行的计算PI的小程序。下面这个程序初看起来似乎摸不到头脑,
不过不用担心,当你读完本文的时候就能够基本读懂它了。
程序一:很牛的计算Pi的程序
int
a
=
10000
,b,c
=
2800
,d,e,f[
2801
],g;

main()
{
for
(;b
-
c;)
f[b
++
]
=
a
/
5
;
for
(;d
=
0
,g
=
c
*
2
;c
-=
14
,printf(
"
%.4d
"
,e
+
d
/
a),e
=
d
%
a)
for
(b
=
c; d
+=
f[b]
*
a,f[b]
=
d
%--
g,d
/=
g
--
,
--
b; d
*=
b);
}
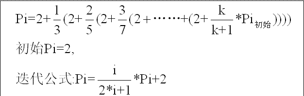
二、数学公式
数学家们研究了数不清的方法来计算PI,这个程序所用的公式如下:

至于这个公式为什么能够计算出PI,已经超出了本文的能力范围。
下面要做的事情就是要分析清楚程序是如何实现这个公式的。
我们先来验证一下这个公式:
程序二:Pi公式验证程序
#include "stdio.h"
void main()
{
float pi=2;
int i;
for(i=100;i>=1;i--)
pi=pi*(float)i/(2*i+1)+2;
printf("%f\n",pi);
getchar();
}
上面这个程序的结果是3.141593。
三、程序展开
在正式分析程序之前,我们需要对程序一进行一下展开。我们可以看出程序一都是使用for循环来完成计算的,这样做虽然可以使得程序短小,但是却很难读懂。根据for循环的运行顺序,我们可以把它展开为如下while循环的程序:
程序三:for转换为while之后的程序
1
int
a
=
10000
,b,c
=
2800
,d,e,f[
2801
],g;
2
main()
{
3
int
i;
4
for
(i
=
0
;i
<
c;i
++
)
5
f[i]
=
a
/
5
;
6
while
(c
!=
0
)
7
{
8
d
=
0
;
9
g
=
c
*
2
;
10
b
=
c;
11
while
(
1
)
12
{
13
d
=
d
+
f[b]
*
a;
14
g
--
;
15
f[b]
=
d
%
g;
16
d
=
d
/
g;
17
g
--
;
18
b
--
;
19
if
(b
==
0
)
break
;
20
d
=
d
*
b;
21
}
22
c
=
c
-
14
;
23
printf(
"
%.4d
"
,e
+
d
/
a);
24
e
=
d
%
a;
25
}
26
}
27
下面我们就针对展开后的程序来分析。
四、程序分析
要想计算出无限精度的PI,我们需要上述的迭代公式运行无数次,并且其中每个分数也是完全精确的,这在计算机中自然是无法实现的。那么基本实现思想就是迭代足够多次,并且每个分数也足够精确,这样就能够计算出PI的前n位来。上面这个程序计算800位,迭代公式一共迭代2800次。
int a=10000,b,c=2800,d,e,f[2801],g;
这句话中的2800就是迭代次数。由于float或者double的精度远远不够,因此程序中使用整数类型(实际是长整型),分段运算(每次计算4位)。我们可以看到输出语句 printf("%.4d",e+d/a); 其中%.4就是把计算出来的4位输出,我们看到c每次减少14( c=c-14;),而c的初始大小为2800,因此一共就分了200段运算,并且每次输出4位,所以一共输出了800位。
要是想每次计算3位或5位,怎么办?首先得unsigned long才可以一次计算5位.
c的大小随便改,举个例子: 比如,
a=100000,c=c-14,迭代2800次,共循环200次,输出1000位
a=1000,c=c-7,迭代2800次,共循环400次,输出1200位
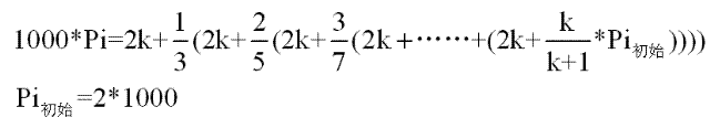
由于使用整型数运算,因此有必要乘上一个系数,在这个程序中系数为1000,也就是说,公式如下:

这里的2k表示2000,也就是f[2801]数组初始化以后的数据,a=10000,a/5=2000,所以下面的程序把f中的每个元素都赋值为2000:
1
for
(i
=
0
;i
<
c;i
++
)
2
f[i]
=
a
/
5
;你可能会觉得奇怪,为什么这里要把一个常数储存到数组中去,请继续往下看。
3
我们先来跟踪一下程序的运行:
4
while
(c
!=
0
) 假设这是第一次运行,c
=
2800
,为迭代次数
5
{
6
d
=
0
;
7
g
=
c
*
2
; 这里的g是用来做k
/
(2k
+
1
)中的分母
8
b
=
c; 这里的b是用来做k
/
(2k
+
1
)中的分子
9
while
(
1
)
10
while
(
1
)
11
{
12
d
=
d
+
f[b]
*
a; f中的所有的值都为2000,这里在计算时又把系数扩大了a
=
10000倍。这样做的目的稍候介绍,你可以看到输出的时候是d
/
a,所以这不影响计算.
13
g
--
;
14
f[b]
=
d
%
g; 先不管这一行
15
d
=
d
/
g; 第一次运行的g为2
*
2799
+
1
,你可以看到g做了分母
16
g
--
;
17
b
--
;
18
if
(b
==
0
)
break
;
19
d
=
d
*
b; 这里的b为2799,可以看到d做了分子。
20
}
21
c
=
c
-
14
;
22
printf(
"
%.4d
"
,e
+
d
/
a);
23
e
=
d
%
a;
24
}
25
只需要粗略的看看上面的程序,我们就大概知道它的确是使用的那个迭代公式来计算Pi
的了,不过不知道到现在为止你是否明白了f数组的用处。如果没有明白,请继续阅读。
d=d/g,这一行的目的是除以2k+1,我们知道之所以程序无法精确计算的原因就是这个除法。即使用浮点数,答案也是不够精确的,因此直接用来计算800位的Pi是不可能的。那么不精确的成分在哪里?很明显:就是那个余数d%g。程序用f数组把这个误差储存起来,再下次计算的时候使用。现在你也应该知道为什么d=d+f[b]*a;中间需要乘上a了吧。
把分子扩大之后,才好把误差精确的算出来。
d如果不乘10000这个系数,则其值为2000,那么运行d=d/g;则是2000/(2*2799+1),这种整数的除法答案为0,根本无法迭代下去了。
现在我们知道程序就是把余数储存起来,作为下次迭代的时候的参数,那么为什么这么做就可以使得下次迭代出来的结果为接下来的4位数呢?
这实际上和我们在纸上作除法很类似:

我们可以发现,在做除法的时候,我们通常把余数扩大之后再来计算,f中既然储存的是余数,而f[b]*a;则正好把这个余数扩大了a倍,然后如此循环下去,可以计算到任意精度。
这里要说明的是,事实上每次计算出来的d并不一定只有4位数,例如第一次计算的时候,d的值为31415926,输出4位时候,把低四位的值储存在e中间,e=d%a,也就是5926。最后,这个c=c-14不太好理解。事实上没有这条语句,程序计算出来的仍然正确。只是因为如果迭代2800次,无论分数如何精确,最后Pi的精度只能够达到800。
你可以把程序改为如下形式尝试一下:
for
(i
=
0
;i
<
800
;i
++
)

{

{
d
=
0
;
g
=
c
*
2
;
b
=
c;
while
(
1
)

{
d
=
d
+
f[b]
*
a;
g
--
;
f[b]
=
d
%
g;
d
=
d
/
g;
g
--
;
b
--
;
if
(b
==
0
)
break
;
d
=
d
*
b;
}
//
c=c-14; 不要这句话。
printf(
"
%.4d
"
,e
+
d
/
a);
e
=
d
%
a;
}
最后的答案仍然正确。
不过我们可以看到内循环的次数是c次,也就是说每次迭代计算c次。而每次计算后续位
数的时候,迭代次数减少14,而不影响精度。
附:圆周率小数点后1000位:
1415926535 8979323846 2643383279 5028841971 6939937510
5820974944 5923078164 0628620899 8628034825 3421170679
8214808651 3282306647 0938446095 5058223172 5359408128
4811174502 8410270193 8521105559 6446229489 5493038196
4428810975 6659334461 2847564823 3786783165 2712019091
4564856692 3460348610 4543266482 1339360726 0249141273
7245870066 0631558817 4881520920 9628292540 9171536436
7892590360 0113305305 4882046652 1384146951 9415116094
3305727036 5759591953 0921861173 8193261179 3105118548
0744623799 6274956735 1885752724 8912279381 8301194912
9833673362 4406566430 8602139494 6395224737 1907021798
6094370277 0539217176 2931767523 8467481846 7669405132
0005681271 4526356082 7785771342 7577896091 7363717872
1468440901 2249534301 4654958537 1050792279 6892589235
4201995611 2129021960 8640344181 5981362977 4771309960
5187072113 4999999837 2978049951 0597317328 1609631859
5024459455 3469083026 4252230825 3344685035 2619311881
7101000313 7838752886 5875332083 8142061717 7669147303
5982534904 2875546873 1159562863 8823537875 9375195778
1857780532 1712268066 1300192787 6611195909 2164201989
想要1000万位的发email给我就是.
posted on 2006-11-09 15:18
哈哈 阅读(2665)
评论(4) 编辑 收藏 引用